Lección 9.B — Tipos de interés a corto y largo plazo

Índice

Objetivo de la práctica

Guión: P-L09-B-TiposDeInteresACortoYLargo.inp

Datos

Datos trimestrales (1952Q2–1970Q4). Tipos de interés a corto y a largo plazo en el Reino Unido.

(Estos datos me los pasó el Profesor Miguel Jerez hace tiempo. Desconozco la fuente original)

Descarga de datos
https://github.com/mbujosab/TimeSeriesData/blob/main/UK_Interest_rates.csv

Objetivo

  1. Analizar si los tipos a corto y largo plazo están cointegrados; y que por tanto la correlación entre los tipos a corto y largo plazo no es espuria.

Comencemos cargando los datos:

Archivo --> Abrir datos --> Archivo de usuario y en la ventana emergente busque el fichero UK_Interest_rates.csv que previamente ha descargado desde aquí.

o bien teclee en linea de comandos:

open RutaAlDirectorioDelFichero/UK_Interest_rates.csv
setobs 4 1952:2
setinfo Short --description="US Short"
setinfo Long --description="Incidencia de melanoma en la población masculina de Connecticut"

donde RutaAlDirectorioDelFichero es la ruta al directorio donde guardó el fichero GNPvsMelanoma.csv

Actividad 1 - Dibujar ambas series en un mismo gráfico

Marque las series Short y Long. Pulse sobre ellas con el botón derecho del ratón. En el menú desplegable seleccione Gráfico de Series Temporales (indique representar en un único gráfico).

o bien teclee en linea de comandos:

gnuplot Short Long --time-series --with-lines   --output="ShortyLong.png"

ShortyLong.png

  1. ¿Tienen tendencia estas series temporales?
  2. ¿Hay una tendencia común a ambas series?
  3. ¿lo podemos saber con seguridad solo mirando el gráfico?

Actividad 2 - Dibujar el diagrama de dispersión y calcular la correlación

Marque las series Short y Long. Pulse sobre ellas con el botón derecho del ratón. En el menú desplegable seleccione Gráfico de dispersión XY (elija como variable del eje X Long y marque suprimir la recta estimada).

o bien teclee en linea de comandos:

gnuplot Short Long --fit=none --output="ScatterPlotShortyLong.png"

ScatterPlotShortyLong.png

Calcular la correlación entre ambas series

Marque las series Short y Long. Pulse sobre ellas con el botón derecho del ratón. En el menú desplegable seleccione Matriz de correlación

o bien teclee en linea de comandos:

corr Short Long
  • ¿Qué correlación hay? ¿Es elevada?
  • ¿Significa que una de las variables influye en la otra?
  • ¿Significa que hay una causa común que influyen en ambas?
  • ¿Significa que quizá hay alguna relación de causalidad entre ambas (por remota que sea)?

Como en el caso anterior que haya correlación nunca significa que haya relación causal.

La lectura siempre en la otra dirección: si hay relación causal, probablemente veamos una fuerte correlación.

Actividad 3 - Regrese la primera diferencia de los tipos a corto sobre la diferencia de los tipos a largo

  1. Incluya las primeras diferencias de Short y Long
  2. Dibuje ambas series diferenciadas. ¿Parecen ser estacionarias en media? ¿Son Short y Long aparentemente \(I(1)?\)
  3. ¿Están correladas?
  4. Regrese d_Short sobre d_Long
  5. Observe los resultados de la regresión.
    • ¿Son significativos los parámetros? ¿cuales sí y cuales no? (compare esto con lo que pasaba en el ejemplo anterior)
    • ¿Reproduce el modelo parte de la varianza de d_Short?

Análisis gráfico y coeficiente de correlación

Realice los pasos con la interfaz gráfica y los menús desplegables,

o bien teclee en linea de comandos:

diff Short Long
gnuplot d_Short d_Long --time-series --with-lines --output="d_Shortyd_Long.png"
corr d_Short d_Long
corr Short Long

d_Shortyd_Long.png

Regresión en primeras diferencias

Estime el modelo mediante los menús desplegables: Modelo -> Mínimos Cuadrados Ordinarios; indique a Gretl el regresando y regresor y pulse Aceptar.

o bien teclee en linea de comandos:

ols d_Short 0 d_Long
Model 2: OLS, using observations 1952:3-1970:4 (T = 74)
Dependent variable: d_Short

             coefficient   std. error   t-ratio   p-value 
  --------------------------------------------------------
  const      -0.0273645    0.0773056    -0.3540   0.7244  
  d_Long      1.26015      0.280995      4.485    2.70e-05 ***

Mean dependent var   0.060676   S.D. dependent var   0.722515
Sum squared resid    29.78754   S.E. of regression   0.643207
R-squared            0.218340   Adjusted R-squared   0.207484
F(1, 72)             20.11170   P-value(F)           0.000027
Log-likelihood      -71.33238   Akaike criterion     146.6648
Schwarz criterion    151.2729   Hannan-Quinn         148.5030
rho                 -0.085839   Durbin-Watson        2.166905

Fíjese que ocurre justo lo esperado si hay una relación de tipo \[\boldsymbol{y}=\beta_1 \boldsymbol{1} + \beta_2 \boldsymbol{x} + \boldsymbol{u}\]

Al tomar diferencias el único parámetro significativo es la pendiente. La constante ya no es significativa y el R cuadrado del ajuste no es despreciable. De hecho, el modelo reproduce más del 20% de la varianza del regresando.

Actividad 5 - Ajuste los tipos corto plazo en función de los tipos a largo

Veamos si las series en niveles pueden estar cointegradas. Para ello debemos analizar los residuos de la regresión de Short sobre Long.

  1. Regrese Short sobre Long
  2. Observe los resultados de la regresión.
    • ¿Son significativos los parámetros?
    • ¿Reproduce el modelo parte de la varianza de Short?
  3. Dibuje los residuos de la regresión. ¿Parecen ``estacionarios en media''? dicho de otra forma ¿muestran alguna tendencia?

o bien teclee en linea de comandos:

ols Short 0 Long
Model 4: OLS, using observations 1952:2-1970:4 (T = 75)
Dependent variable: Short

             coefficient   std. error   t-ratio   p-value 
  --------------------------------------------------------
  const       -1.16917     0.350071     -3.340    0.0013   ***
  Long         0.998553    0.0573798    17.40     1.09e-27 ***

Mean dependent var   4.738000   S.D. dependent var   1.670707
Sum squared resid    40.11837   S.E. of regression   0.741328
R-squared            0.805772   Adjusted R-squared   0.803112
F(1, 73)             302.8478   P-value(F)           1.09e-27
Log-likelihood      -82.95837   Akaike criterion     169.9167
Schwarz criterion    174.5517   Hannan-Quinn         171.7674
rho                  0.623582   Durbin-Watson        0.751581

o bien teclee en linea de comandos:

residuos = $uhat
gnuplot residuos --time-series --with-lines --output="GraficoResiduos.png"

GraficoResiduos.png

A la vista de los gráficos iniciales, las variables Short y Long son no estacionarias (tienen tendencia), lo que conduce a un elevado coeficiente de correlación entre ellas; sus primeras diferencias parecen ``estacionarias'' lo que sugiere que ambas series son \(I(1)\).

La regresión de las series en diferencias y los residuos de la regresión en niveles parecen compatibles con que Short y Long estén cointegradas, es decir, que tengan una tendencia común.

En este caso la correlación no es espuria, por el funcionamiento de los mercados financieros sabemos que el nivel de los tipos a largo plazo tiene un efecto sobre tipos a corto (y viceversa); y los datos así lo reflejan.

A este análisis le falta la realización de contrastes estadísticos que confirmen que las series en niveles son \(I(1)\) y pero los residuos de la última regresión son \(I(0)\). Es decir, que existe una combinación lineal de las series que tiene un orden de integración menor; en este caso, y dado que la pendiente estimada es prácticamente \(1\), dicha combinación sería: \[Long_t-Short_t=Cte + U_t.\]

Actividad 5 - Análisis sobre el orden de integración

Realice las verificaciones para decidir que las series de tipos son \(I(1)\)

Análisis gráfico

Ya vimos que los gráficos de ambas series muestran una clara tendencia creciente.

Contraste de Dickey-Fuller

  • para los tipos a largo plazo

    o bien teclee en linea de comandos:

    adf 4 Long --c
    
    Augmented Dickey-Fuller test for Long
    including 4 lags of (1-L)Long
    sample size 70
    unit-root null hypothesis: a = 1
    
      test with constant 
      model: (1-L)y = b0 + (a-1)*y(-1) + ... + e
      estimated value of (a - 1): -0.00436472
      test statistic: tau_c(1) = -0.172702
      asymptotic p-value 0.9395
      1st-order autocorrelation coeff. for e: 0.018
      lagged differences: F(4, 64) = 2.151 [0.0847]
    

    p-valor del contraste: 0.940

    Así que no rechazamos la \(H_0:\) la serie es una realización de un proceso \(I(1)\) para Long.

  • Para los tipos a corto plazo

    o bien teclee en linea de comandos:

    adf 4 Short --c
    
    Augmented Dickey-Fuller test for Short
    including 4 lags of (1-L)Short
    sample size 70
    unit-root null hypothesis: a = 1
    
      test with constant 
      model: (1-L)y = b0 + (a-1)*y(-1) + ... + e
      estimated value of (a - 1): -0.0815354
      test statistic: tau_c(1) = -1.37939
      asymptotic p-value 0.5941
      1st-order autocorrelation coeff. for e: -0.004
      lagged differences: F(4, 64) = 1.429 [0.2344]
    

    p-valor del contraste: 0.594

    Así que tampoco rechazamos la \(H_0:\) la serie es una realización de un proceso \(I(1)\) para Short.

Contraste KPSS

  • para los tipos a largo plazo
    kpss 4 Long
    
    KPSS test for Long
    
    T = 75
    Lag truncation parameter = 4
    Test statistic = 1.36146
    
                       10%      5%      1%
    Critical values: 0.350   0.462   0.731
    P-value < .01
    

    El p-valor es inferior al 1%, así que rechazamos la \(H_0:\) la serie es una realización de un proceso \(I(0)\) para Long.

  • para los tipos a corto plazo
    kpss 4 Short
    
    KPSS test for Short
    
    T = 75
    Lag truncation parameter = 4
    Test statistic = 1.17483
    
                       10%      5%      1%
    Critical values: 0.350   0.462   0.731
    P-value < .01
    

    El p-valor es inferior al 1%, así que rechazamos la \(H_0:\) la serie es una realización de un proceso \(I(0)\) para Short.

Correlogramas, \(\rho_1\)

  • para los tipos a largo plazo
    corrgm Long 14 --plot="LongACF-PACF.png"
    corr Long Long(-1)
    

    LongACF-PACF.png

    corr(Long, Long_1) = 0.98398707
    Under the null hypothesis of no correlation:
     t(72) = 46.8437, with two-tailed p-value 0.0000
    

    La ACF decae de manera aparentemente lineal y el coeficiente de correlación de orden 1 es casi uno.

  • para los tipos a corto plazo
    corrgm Short 14 --plot="ShortACF-PACF.png"
    corr Short Short(-1)
    

    ShortACF-PACF.png

    corr(Short, Short_1) = 0.90540602
    Under the null hypothesis of no correlation:
     t(72) = 18.0961, with two-tailed p-value 0.0000
    

    La ACF decae de manera aparentemente lineal y el coeficiente de correlación de orden 1 es mayor que 0.9.

Análisis de la magnitud de raíces AR

  • para los tipos a largo plazo
    arima 3 0 0 ; Long
    
    Function evaluations: 77
    Evaluations of gradient: 28
    
    Model 6: ARMA, using observations 1952:2-1970:4 (T = 75)
    Estimated using AS 197 (exact ML)
    Dependent variable: Long
    Standard errors based on Hessian
    
                 coefficient   std. error      z      p-value 
      --------------------------------------------------------
      const       6.55173       1.87427      3.496    0.0005   ***
      phi_1       1.23163       0.116497    10.57     4.01e-26 ***
      phi_2      -0.260889      0.185013    -1.410    0.1585  
      phi_3       0.0200019     0.118006     0.1695   0.8654  
    
    Mean dependent var   5.915733   S.D. dependent var   1.501881
    Mean of innovations  0.044678   S.D. of innovations  0.267160
    R-squared            0.969059   Adjusted R-squared   0.968200
    Log-likelihood      -9.577862   Akaike criterion     29.15572
    Schwarz criterion    40.74316   Hannan-Quinn         33.78246
    
                            Real  Imaginary    Modulus  Frequency
      -----------------------------------------------------------
      AR
        Root  1           1.0121     0.0000     1.0121     0.0000
        Root  2           6.0156    -3.6348     7.0285    -0.0865
        Root  3           6.0156     3.6348     7.0285     0.0865
      -----------------------------------------------------------
    

    El ajuste de un polinomio autorregresivo arroja una raíz de módulo casi 1,

  • para los tipos a largo plazo
    arima 3 0 0 ; Short
    
    Function evaluations: 26
    Evaluations of gradient: 10
    
    Model 8: ARMA, using observations 1952:2-1970:4 (T = 75)
    Estimated using AS 197 (exact ML)
    Dependent variable: Short
    Standard errors based on Hessian
    
                 coefficient   std. error     z      p-value 
      -------------------------------------------------------
      const        4.69685      0.849361     5.530   3.20e-08 ***
      phi_1        1.03903      0.113564     9.149   5.73e-20 ***
      phi_2       -0.253220     0.162823    -1.555   0.1199  
      phi_3        0.131271     0.114984     1.142   0.2536  
    
    Mean dependent var   4.738000   S.D. dependent var   1.670707
    Mean of innovations  0.048409   S.D. of innovations  0.694661
    R-squared            0.825654   Adjusted R-squared   0.820811
    Log-likelihood      -80.04182   Akaike criterion     170.0836
    Schwarz criterion    181.6711   Hannan-Quinn         174.7104
    
                            Real  Imaginary    Modulus  Frequency
      -----------------------------------------------------------
      AR
        Root  1           1.0882     0.0000     1.0882     0.0000
        Root  2           0.4204    -2.6122     2.6458    -0.2246
        Root  3           0.4204     2.6122     2.6458     0.2246
      -----------------------------------------------------------
    

    El ajuste de un polinomio autorregresivo arroja una raíz de módulo casi 1,

Conclusión

Todas las verificaciones apuntan a que las series de tipos a corto y largo plazo son \(I(1)\).

Realice las verificaciones para decidir que los residuos son \(I(0)\)

Análisis gráfico

Ya vimos que el gráfico de los residuos no muestra una tendencia clara.

Contraste de Dickey-Fuller

Indique que no hay constante (los residuos proceden de una regresión con constante, por lo que su media es cero).

adf 4 residuos --nc
Augmented Dickey-Fuller test for residuos
including 4 lags of (1-L)residuos
sample size 70
unit-root null hypothesis: a = 1

  test without constant 
  model: (1-L)y = (a-1)*y(-1) + ... + e
  estimated value of (a - 1): -0.354525
  test statistic: tau_nc(1) = -2.30363
  asymptotic p-value 0.02052
  1st-order autocorrelation coeff. for e: -0.003
  lagged differences: F(4, 65) = 0.886 [0.4776]

p-valor del contraste: 0.021

Se rechaza la \(H_0:\) la serie es una realización de un proceso \(I(1)\) a un nivel de significación del 2.2% o mayor.

Contraste KPSS

kpss 4 residuos
KPSS test for residuos

T = 75
Lag truncation parameter = 4
Test statistic = 0.0915168

                   10%      5%      1%
Critical values: 0.350   0.462   0.731
P-value > .10

El p-valor es superior al 10%, así que NO rechazamos la \(H_0:\) la serie es una realización de un proceso \(I(0)\) a un nivel de significación del 10% o menor.

Correlogramas, \(\rho_1\)

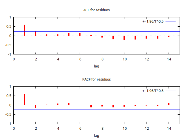
corrgm residuos 14 --plot="residuosACF-PACF.png"
corr residuos residuos(-1)

residuosACF-PACF.png

corr(residuos, residuos_1) = 0.61204041
Under the null hypothesis of no correlation:
 t(72) = 6.56697, with two-tailed p-value 0.0000

La ACF decae de manera exponencial y rápidamente y el coeficiente de correlación de orden 1 está alejado de uno.

Análisis de la magnitud de raíces AR

arima 3 0 0 ; residuos
Function evaluations: 28
Evaluations of gradient: 9

Model 10: ARMA, using observations 1952:2-1970:4 (T = 75)
Estimated using AS 197 (exact ML)
Dependent variable: residuos
Standard errors based on Hessian

             coefficient   std. error      z      p-value 
  --------------------------------------------------------
  const      -0.0333331     0.157036    -0.2123   0.8319  
  phi_1       0.733599      0.116451     6.300    2.98e-10 ***
  phi_2      -0.204892      0.141389    -1.449    0.1473  
  phi_3       0.0535092     0.119417     0.4481   0.6541  

Mean dependent var  -2.33e-15   S.D. dependent var   0.736302
Mean of innovations  0.005895   S.D. of innovations  0.569071
R-squared            0.394673   Adjusted R-squared   0.377858
Log-likelihood      -64.41547   Akaike criterion     138.8309
Schwarz criterion    150.4184   Hannan-Quinn         143.4577

                        Real  Imaginary    Modulus  Frequency
  -----------------------------------------------------------
  AR
    Root  1           1.8601     0.0000     1.8601     0.0000
    Root  2           0.9845    -3.0130     3.1697    -0.1997
    Root  3           0.9845     3.0130     3.1697     0.1997
  -----------------------------------------------------------

El ajuste de un polinomio autorregresivo arroja una raíz de módulo casi 1,

El ajuste de un polinomio autorregresivo arroja raíces con módulos claramente mayores a 1.

Conclusión

Las verificaciones realizadas apuntan a que los residuos de la regresión en niveles de la serie de tipos a corto plazo sobre los tipos a largo plazo es \(I(0)\).

Conclusión

Las variables Short y Long muestran una tendencia creciente, lo que conduce a un elevado coeficiente de correlación entre ellas; pero la tendencia ni es común, ni la correlación se puede atribuir a ninguna relación de causalidad entre ellas. La correlación es espuria (es decir, carece de sentido tratar de interpretarla); y los resultados de la regresión en diferencias lo ponen de relieve.

Gretl tiene implementados varios pasos del proceso que hemos llevado a cabo

El contraste de cointegración de Engle y Granger

Modelo --> Series temporales multivariantes --> Contraste de cointegracion (Engle-Granger) y en la ventana emergente marque Long y Short. Pulse en la flecha verde para emplear ambas series. Luego pulse en Aceptar.

coint 8 Short Long --test-down
Step 1: testing for a unit root in Short

Augmented Dickey-Fuller test for Short
testing down from 8 lags, criterion AIC
sample size 74
unit-root null hypothesis: a = 1

  test with constant 
  including 0 lags of (1-L)Short
  model: (1-L)y = b0 + (a-1)*y(-1) + e
  estimated value of (a - 1): -0.098126
  test statistic: tau_c(1) = -1.96889
  asymptotic p-value 0.3009
  1st-order autocorrelation coeff. for e: 0.103

Step 2: testing for a unit root in Long

Augmented Dickey-Fuller test for Long
testing down from 8 lags, criterion AIC
sample size 70
unit-root null hypothesis: a = 1

  test with constant 
  including 4 lags of (1-L)Long
  model: (1-L)y = b0 + (a-1)*y(-1) + ... + e
  estimated value of (a - 1): -0.00436472
  test statistic: tau_c(1) = -0.172702
  asymptotic p-value 0.9395
  1st-order autocorrelation coeff. for e: 0.018
  lagged differences: F(4, 64) = 2.151 [0.0847]

Step 3: cointegrating regression

Cointegrating regression - 
OLS, using observations 1952:2-1970:4 (T = 75)
Dependent variable: Short

             coefficient   std. error   t-ratio   p-value 
  --------------------------------------------------------
  const       -1.16917     0.350071     -3.340    0.0013   ***
  Long         0.998553    0.0573798    17.40     1.09e-27 ***

Mean dependent var   4.738000   S.D. dependent var   1.670707
Sum squared resid    40.11837   S.E. of regression   0.741328
R-squared            0.805772   Adjusted R-squared   0.803112
Log-likelihood      -82.95837   Akaike criterion     169.9167
Schwarz criterion    174.5517   Hannan-Quinn         171.7674
rho                  0.623582   Durbin-Watson        0.751581

Step 4: testing for a unit root in uhat

Augmented Dickey-Fuller test for uhat
testing down from 8 lags, criterion AIC
sample size 73
unit-root null hypothesis: a = 1

  test without constant 
  including one lag of (1-L)uhat
  model: (1-L)y = (a-1)*y(-1) + ... + e
  estimated value of (a - 1): -0.451844
  test statistic: tau_c(2) = -4.23992
  asymptotic p-value 0.00312
  1st-order autocorrelation coeff. for e: 0.006

There is evidence for a cointegrating relationship if:
(a) The unit-root hypothesis is not rejected for the individual variables, and
(b) the unit-root hypothesis is rejected for the residuals (uhat) from the 
    cointegrating regression.

Fíjese que

la primera etapa consiste en
el contraste de raíz unitaria Dickey-Fuller para Short.
la segunda etapa consiste en
el contraste de raíz unitaria Dickey-Fuller para Long.
la tercera etapa consiste en
la regresión de Short sobre Long.
la cuarta etapa consiste en
el contraste de raíz unitaria Dickey-Fuller para los residuos de la anterior regresión.

Código completo de la práctica

Created: 2026-01-22 Thu 11:07