Ejercicio de identificación de un modelo ARIMA

Índice

Datos

Cargue la serie de datos simulados f7dcbd-12.gdt

open ../../datos/IdentificaEstosARIMA/f7dcbd-12.gdt

Primer análisis gráfico

gnuplot x --time-series --with-lines --output="SerieEnNiveles.png"
rmplot  x --output="rango-media.png"

SerieEnNiveles.png

rango-media.png

Estacionariedad en varianza

A la luz de los anteriores gráficos, donde se aprecia que la variabilidad de los datos aumenta con el nivel de la serie, parece necesaria la transformación logarítmica.

Transforme logarítmicamente los datos y grafíquelos

logs x
gnuplot l_x --time-series --with-lines --output="SerieEnLogs.png"
rmplot  l_x --output="rango-media-enLogs.png"

SerieEnLogs.png

rango-media-enLogs.png

La serie en logs ya parece estacionaria en varianza.

Estacionariedad en media

El gráfico de la serie l_x parece mostrar una evolución en su nivel (una tendencia). Por tanto, parece indicado tomar una diferencia ordinaria.

No obstante, probemos a ajustar un modelo AR(1), probablemente obtendremos un polinomio autoregresivo con una raíz muy próxima a uno (o incluso menor que uno en valor absoluto).

AR1 <- arima 1 0 0 ; l_x
Function evaluations: 93
Evaluations of gradient: 24

AR1: ARMA, using observations 1985:01-2024:12 (T = 480)
Estimated using AS 197 (exact ML)
Dependent variable: l_x
Standard errors based on Hessian

             coefficient   std. error      z      p-value
  -------------------------------------------------------
  const       2.43628      1.71557        1.420   0.1556 
  phi_1       0.998052     0.00178662   558.6     0.0000  ***

Mean dependent var   4.117853   S.D. dependent var   1.982703
Mean of innovations -0.000257   S.D. of innovations  0.124169
R-squared            0.996075   Adjusted R-squared   0.996075
Log-likelihood       317.4684   Akaike criterion    -628.9367
Schwarz criterion   -616.4154   Hannan-Quinn        -624.0149

                        Real  Imaginary    Modulus  Frequency
  -----------------------------------------------------------
  AR
    Root  1           1.0020     0.0000     1.0020     0.0000
  -----------------------------------------------------------

AR1 saved

Tal como se anticipaba, la raíz es casi 1. También podemos probar con los test formales de raíz unitaria

Test ADF

adf -1 l_x --c --gls --test-down --perron-qu 
Augmented Dickey-Fuller (GLS) test for l_x
testing down from 17 lags, criterion modified AIC, Perron-Qu
sample size 477
unit-root null hypothesis: a = 1

  test with constant 
  including 2 lags of (1-L)l_x
  model: (1-L)y = b0 + (a-1)*y(-1) + ... + e
  estimated value of (a - 1): -0.00213547
  test statistic: tau = -1.19526
  approximate p-value 0.226
  1st-order autocorrelation coeff. for e: -0.013
  lagged differences: F(2, 474) = 156.788 [0.0000]

El p-valor es elevado, por lo que NO se rechaza la \(H_0\) de que la serie es \(I(1)\)

Test KPSS

kpss -1 l_x 
KPSS test for l_x

T = 480
Lag truncation parameter = 5
Test statistic = 1.77747

                   10%      5%      1%
Critical values: 0.348   0.462   0.742
P-value < .01

El p-valor es menor al 1%, por lo que se rechaza la \(H_0\) de que la serie es \(I(0)\).

  • observe también el correlograma. ¿Decae exponencialmente? ¿o lo hace linealmente?

Todas las evidencias apuntan a que es necesaria tomar una diferencia ordinaria

Repetición del análisis con la serie diferenciada

diff l_x
gnuplot d_l_x --time-series --with-lines --output="SerieLogEnDiferencias.png"

SerieLogEnDiferencias.png

El gráfico de la serie transformada no muestra tener una clara tendencia o evolución a largo plazo de su nivel.

Probemos a ajustar un modelo AR a los datos diferenciados

ARIMA110 <- arima 1 1 0 ; d_l_x
Function evaluations: 24
Evaluations of gradient: 5

ARIMA110: ARIMA, using observations 1985:03-2024:12 (T = 478)
Estimated using AS 197 (exact ML)
Dependent variable: (1-L) d_l_x
Standard errors based on Hessian

             coefficient    std. error      z        p-value 
  -----------------------------------------------------------
  const      -0.000361014   0.00262948    -0.1373   0.8908   
  phi_1      -0.755554      0.0299328    -25.24     1.40e-140 ***

Mean dependent var  -0.000553   S.D. dependent var   0.154022
Mean of innovations  0.000017   S.D. of innovations  0.100834
R-squared            0.388386   Adjusted R-squared   0.388386
Log-likelihood       417.9912   Akaike criterion    -829.9825
Schwarz criterion   -817.4736   Hannan-Quinn        -825.0647

                        Real  Imaginary    Modulus  Frequency
  -----------------------------------------------------------
  AR
    Root  1          -1.3235     0.0000     1.3235     0.5000
  -----------------------------------------------------------

ARIMA110 saved

El parámetro \(\phi_1\) está lejos de la unidad (consecuentemente, también lo está la raíz autorregresiva).

Repitamos también los tests formales

Test ADF

adf -1 d_l_x --c --gls --test-down --perron-qu 
Augmented Dickey-Fuller (GLS) test for d_l_x
testing down from 17 lags, criterion modified AIC, Perron-Qu
sample size 468
unit-root null hypothesis: a = 1

  test with constant 
  including 10 lags of (1-L)d_l_x
  model: (1-L)y = b0 + (a-1)*y(-1) + ... + e
  estimated value of (a - 1): -0.145647
  test statistic: tau = -3.18886
  approximate p-value 0.001
  1st-order autocorrelation coeff. for e: 0.001
  lagged differences: F(10, 457) = 35.578 [0.0000]

El p-valor es muy bajo, por lo que se rechaza la \(H_0\) de que la serie es \(I(1)\)

Test KPSS

kpss -1 d_l_x 
KPSS test for d_l_x

T = 479
Lag truncation parameter = 5
Test statistic = 0.542182

                   10%      5%      1%
Critical values: 0.348   0.462   0.742
Interpolated p-value 0.039

El p-valor no es concluyente: NO se rechaza la \(H_0\) de que la serie es \(I(0)\) al 1%, pero sí se rechaza al 5%. En cualquier caso, las evidencias apuntan mayoritariamente a que NO es necesario tomar una segunda diferencia ordinaria

Diferencias estacionales

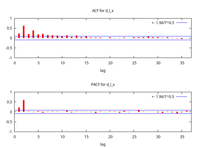
Observemos el gráfico de la serie diferenciada y su correlograma.

corrgm d_l_x 36 --plot="d_l_x_ACF-PACF.png"

SerieLogEnDiferencias.png

d_l_x_ACF-PACF.png

Ni en el gráfico de la serie se aprecia ninguna pauta estacional, ni en la función de autocorrelación simple las correlaciones correspondientes a los retardos estacionales son significativas (y deberían ser muy prominentes si fuera necesaria una diferencia estacional).

Además, si tratamos de ajustar un AR(1) estacional:

ARIMA010X100 <- arima 0 1 0 ; 1 0 0 ; l_x  --nc
Function evaluations: 15
Evaluations of gradient: 3

ARIMA010X100:
ARIMA, using observations 1985:02-2024:12 (T = 479)
Estimated using AS 197 (exact ML)
Dependent variable: (1-L) l_x
Standard errors based on Hessian

             coefficient   std. error     z     p-value
  -----------------------------------------------------
  Phi_1       0.0578266    0.0459270    1.259   0.2080 

Mean dependent var  -0.003555   S.D. dependent var   0.124351
Mean of innovations -0.003470   S.D. of innovations  0.124062
R-squared            0.996083   Adjusted R-squared   0.996083
Log-likelihood       319.9682   Akaike criterion    -635.9364
Schwarz criterion   -627.5930   Hannan-Quinn        -632.6565

                        Real  Imaginary    Modulus  Frequency
  -----------------------------------------------------------
  AR (seasonal)
    Root  1          17.2931     0.0000    17.2931     0.0000
  -----------------------------------------------------------

ARIMA010X100 saved

constatamos que la estimación del parámetro \(\Phi_1\) no es significativa.

Todas las evidencias apuntan a que NO es necesaria tomar ninguna diferencia estacional

Recuerde que los test ADF y KPSS no sirven para determinar si es necesario tomar diferencias estacionales (solo sirven para las diferencias regulares).

Búsqueda de un modelo ARIMA

Observando al ACF y la PACF de aprecia que la ACF decae a una tasa exponencial, y la PACF se trunca tras el segundo retardo, lo cual es compatible con un AR(2).

d_l_x_ACF-PACF.png

Por tanto, parece que la serie en logaritmos sigue un modelo ARIMA\((2,1,0)\). Veamos si es así:

ARIMA210cte <- arima 2 1 0 ; l_x 
Function evaluations: 27
Evaluations of gradient: 6

ARIMA210cte:
ARIMA, using observations 1985:02-2024:12 (T = 479)
Estimated using AS 197 (exact ML)
Dependent variable: (1-L) l_x
Standard errors based on Hessian

             coefficient   std. error      z      p-value 
  --------------------------------------------------------
  const      -0.00612415   0.0144972    -0.4224   0.6727  
  phi_1       0.0933620    0.0365714     2.553    0.0107   **
  phi_2       0.604952     0.0365965    16.53     2.22e-61 ***

Mean dependent var  -0.003555   S.D. dependent var   0.124351
Mean of innovations  0.000230   S.D. of innovations  0.096517
R-squared            0.997634   Adjusted R-squared   0.997629
Log-likelihood       439.7655   Akaike criterion    -871.5310
Schwarz criterion   -854.8442   Hannan-Quinn        -864.9712

                        Real  Imaginary    Modulus  Frequency
  -----------------------------------------------------------
  AR
    Root  1          -1.3652     0.0000     1.3652     0.5000
    Root  2           1.2108     0.0000     1.2108     0.0000
  -----------------------------------------------------------

ARIMA210cte saved

Los parámetros autorregresivos son significativos y el modulo de las raíces es claramente mayor que la unidad en ambos casos. No obstante, la constante no es significativa.

Reestimemos el modelo sin constante:

ARIMA210 <- arima 2 1 0 ; l_x --nc
Function evaluations: 21
Evaluations of gradient: 4

ARIMA210: ARIMA, using observations 1985:02-2024:12 (T = 479)
Estimated using AS 197 (exact ML)
Dependent variable: (1-L) l_x
Standard errors based on Hessian

             coefficient   std. error     z      p-value 
  -------------------------------------------------------
  phi_1       0.0936419    0.0365721     2.560   0.0105   **
  phi_2       0.605180     0.0365994    16.54    2.05e-61 ***

Mean dependent var  -0.003555   S.D. dependent var   0.124351
Mean of innovations -0.001626   S.D. of innovations  0.096534
R-squared            0.997634   Adjusted R-squared   0.997629
Log-likelihood       439.6762   Akaike criterion    -873.3525
Schwarz criterion   -860.8374   Hannan-Quinn        -868.4326

                        Real  Imaginary    Modulus  Frequency
  -----------------------------------------------------------
  AR
    Root  1          -1.3652     0.0000     1.3652     0.5000
    Root  2           1.2104     0.0000     1.2104     0.0000
  -----------------------------------------------------------

ARIMA210 saved

Análisis de los residuos

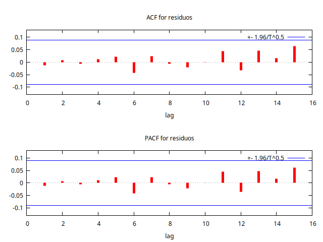
Todo parece OK, pero debemos ver el gráfico de los residuos y su correlograma, así como los estadísticos Q de Ljung-Box para constatar que podemos asumir que son la realización de un proceso de ruido blanco. También conviene mirar si tienen distribución gaussiana:

series residuos = $uhat
gnuplot residuos --time-series --with-lines --output="Residuos.png"
corrgm residuos 15 --plot="residuosACF-PACF.png"

Residuos.png

residuosACF-PACF.png

corrgm residuos 15
Autocorrelation function for residuos
***, **, * indicate significance at the 1%, 5%, 10% levels
using standard error 1/T^0.5

  LAG      ACF          PACF         Q-stat. [p-value]

    1  -0.0115       -0.0115          0.0643  [0.800]
    2   0.0078        0.0077          0.0940  [0.954]
    3  -0.0064       -0.0062          0.1135  [0.990]
    4   0.0112        0.0110          0.1747  [0.996]
    5   0.0218        0.0222          0.4057  [0.995]
    6  -0.0419       -0.0416          1.2590  [0.974]
    7   0.0250        0.0239          1.5640  [0.980]
    8  -0.0067       -0.0054          1.5857  [0.991]
    9  -0.0195       -0.0211          1.7719  [0.995]
   10  -0.0009       -0.0004          1.7723  [0.998]
   11   0.0433        0.0449          2.6954  [0.994]
   12  -0.0331       -0.0353          3.2347  [0.994]
   13   0.0462        0.0479          4.2881  [0.988]
   14   0.0159        0.0178          4.4136  [0.992]
   15   0.0652        0.0623          6.5238  [0.970]

El gráfico de los residuos no presenta ninguna estructura reconocible y ninguna autocorrelación es significativa.

Más importante aún, los correlogramas no muestran ninguna pauta reconocible, se parecen mucho entre sí y los estadísticos Q muestran p-valores muy elevados, por lo que podemos asumir que estos residuos son ``ruido blanco''.

También conviene mirar si los residuos tienen distribución gaussiana:

normtest residuos --jbera
Test for normality of residuos:
 Jarque-Bera test = 5.68514, with p-value 0.0582758

No rechazamos la hipótesis nula de distribución normal ni al 1% ni al 5%.

Adicionalmente, si en la ventana del modelo estimado pincha en el menú desplegable Gráficos --> Espectro con respecto al periodograma espectral verá que el espectro teórico del modelo se ajusta perfectamente al periodograma de la serie.

Por tanto, podemos concluir que la serie f7dcbd-12.gdt, una vez transformada logarítmicamente, sigue un proceso ARIMA\((2,1,0)\) con media cero.

Modelo efectivamente simulado

Veamos si ese es el modelo usado en su simulación. Si miramos la línea 37 del fichero 000-Etiquetas-12.txt que se encuentra en el directorio de donde hemos obtenido los datos encontramos lo siguiente:

f7dcbd, logs, mu = 2.5, ar = '(1 - 0.8B)(1 + 0.8B)', ma = '', i = '(1 - B)'

Efectivamente, requería la transformación logarítmica. La media era \(2.5\), (es decir la constante simulada no era cero). El polinomio AR era de grado 2: \(\;\boldsymbol{\phi}=(1 - 0.8\mathsf{B})(1 + 0.8\mathsf{B})=(1+0\mathsf{B}-0.64\mathsf{B}^2)\;\), no tenía estructura MA y la serie requería una diferencia regular \((1 - \mathsf{B})\).

Por supuesto que la estimación de los parámetros no coincide exactamente con los parámetros del modelo simulado, pero la identificación del modelo ha coincidido con el modelo simulado.

Ahora escoja al azar nuevas series del directorio (dispone de centenares de series simuladas con distintos modelos) y practique la identificación hasta que adquiera seguridad.

Sugerencias (son series sin estacionalidad):

Código completo de la práctica

Created: 2026-01-22 Thu 11:07