Segundo ejercicio de identificación de un modelo ARIMA

Índice

Datos

Cargue la serie de datos simulados 00c296-12.gdt

open ../../datos/IdentificaEstosARIMA/00c296-12.gdt

Primer análisis gráfico

gnuplot x --time-series --with-lines --output="SerieEnNiveles.png"
rmplot  x --output="rango-media.png"

SerieEnNiveles.png

rango-media.png

De estos gráficos se desprende que la serie tiene una acusada pauta estacional y que la volatilidad probablemente depende del nivel de la serie.

Estacionariedad en varianza

A la luz de los anteriores gráficos, donde se aprecia que la variabilidad de los datos aumenta con el nivel de la serie, parece necesaria la transformación logarítmica; pero esta serie toma valores negativos, por lo que no podemos transformar los datos logarítmicamente (para hacerlo deberíamos sumar previamente un valor constante suficientemente elevado como para que todos los valores fueran positivos). Por el momento, dejemos la serie sin transformarla logarítmicamente.

Diferencias estacionales

Observemos el gráfico de la serie y su correlograma.

corrgm x 36 --plot="x_ACF-PACF.png"

SerieEnNiveles.png

x_ACF-PACF.png

En el gráfico de la serie se aprecia una acusada pauta estacional. En la función de autocorrelación simple las correlaciones correspondientes a los retardos estacionales son muy significativas (y con bastantes ``satélites''); en la función de autocorrelación parcial los 13 primeros retardos son muy significativos, en particular, el decimotercero (adyacente al 12) es muy importante.

Además, si tratamos de ajustar un AR(1) estacional:

ARIMA000X100 <- arima 0 0 0 ; 1 0 0 ; x 
Function evaluations: 622
Evaluations of gradient: 123

ARIMA000X100:
ARMA, using observations 1985:01-2001:08 (T = 200)
Estimated using AS 197 (exact ML)
Dependent variable: x
Standard errors based on Hessian

             coefficient   std. error     z      p-value
  ------------------------------------------------------
  const       3.59533      1.28683       2.794   0.0052  ***
  Phi_1       0.955320     0.0148914    64.15    0.0000  ***

Mean dependent var   3.780099   S.D. dependent var   4.838896
Mean of innovations  0.358041   S.D. of innovations  1.535258
R-squared            0.906552   Adjusted R-squared   0.906552
Log-likelihood      -384.1534   Akaike criterion     774.3069
Schwarz criterion    784.2019   Hannan-Quinn         778.3112

                        Real  Imaginary    Modulus  Frequency
  -----------------------------------------------------------
  AR (seasonal)
    Root  1           1.0468     0.0000     1.0468     0.0000
  -----------------------------------------------------------

ARIMA000X100 saved

constatamos que la estimación del parámetro \(\Phi_1\) está muy próxima a uno.

Estas evidencias apuntan a que es necesario tomar una diferencia estacional

Recuerde que los test ADF y KPSS no sirven para determinar si es necesario tomar diferencias estacionales (solo sirven para las diferencias regulares).

Por tanto, tomamos una diferencia estacional.

sdiff x
gnuplot sd_x --time-series --with-lines --output="SerieEnDiferencias.png"

SerieEnDiferencias.png

Repetición del análisis con la serie diferenciada estacionalmente

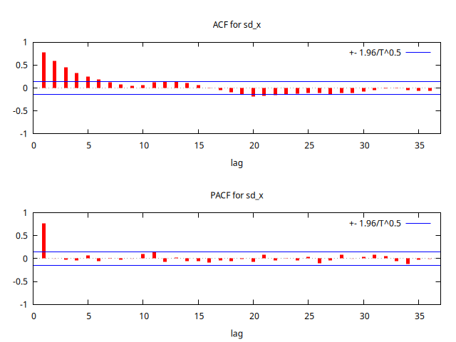
La serie resultante no muestra signos de estacionalidad. Veamos si se ve algo en el correlograma:

corrgm sd_x 36 --plot="sd_x_ACF-PACF.png"

sd_x_ACF-PACF.png

No hay nada que sugiera que persiste algún signo de estacionalidad.

Estacionariedad en media

El gráfico de la serie diferenciada estacionalmente no muestra tener una clara tendencia o evolución a largo plazo de su nivel.

SerieEnDiferencias.png

En el correlograma, la ACF decae rápidamente, indicando que la serie parece ser la realización de un proceso estacionario.

sd_x_ACF-PACF.png

Probemos a ajustar un modelo AR a los datos diferenciados estacionalmente

ARIMA110 <- arima 1 1 0 ; x
Function evaluations: 20
Evaluations of gradient: 5

ARIMA110: ARIMA, using observations 1985:02-2001:08 (T = 199)
Estimated using AS 197 (exact ML)
Dependent variable: (1-L) x
Standard errors based on Hessian

             coefficient   std. error     z      p-value 
  -------------------------------------------------------
  const       0.0799826    0.255554     0.3130   0.7543  
  phi_1       0.405536     0.0659820    6.146    7.94e-10 ***

Mean dependent var   0.058438   S.D. dependent var   2.351529
Mean of innovations  0.000197   S.D. of innovations  2.149835
R-squared            0.824333   Adjusted R-squared   0.824333
Log-likelihood      -434.7714   Akaike criterion     875.5428
Schwarz criterion    885.4227   Hannan-Quinn         879.5415

                        Real  Imaginary    Modulus  Frequency
  -----------------------------------------------------------
  AR
    Root  1           2.4659     0.0000     2.4659     0.0000
  -----------------------------------------------------------

ARIMA110 saved

El parámetro \(\phi_1\) está muy lejos de la unidad (consecuentemente, también lo está la raíz autorregresiva).

Probemos con los tests formales de raíz unitaria y estacionariedad

Test ADF

adf -1 sd_x --c --gls --test-down --perron-qu 
Augmented Dickey-Fuller (GLS) test for sd_x
testing down from 14 lags, criterion modified AIC, Perron-Qu
sample size 187
unit-root null hypothesis: a = 1

  test with constant 
  including 0 lags of (1-L)sd_x
  model: (1-L)y = b0 + (a-1)*y(-1) + e
  estimated value of (a - 1): -0.225392
  test statistic: tau = -4.85952
  approximate p-value 0.000
  1st-order autocorrelation coeff. for e: 0.002

El p-valores es muy bajo, por lo que se rechaza la \(H_0\) de que la serie es \(I(1)\)

Test KPSS

kpss -1 sd_x 
KPSS test for sd_x

T = 188
Lag truncation parameter = 4
Test statistic = 0.22692

                   10%      5%      1%
Critical values: 0.348   0.462   0.739
P-value > .10

El p-valor es elevado, por los que NO se rechaza la \(H_0\) de que la serie es \(I(0)\). Todas estas evidencias indican de manera muy clara que NO es necesario tomar ninguna diferencia ordinaria.

Primer intento de búsqueda de un modelo ARIMA

Observando al ACF y la PACF de aprecia que la ACF decae a una tasa exponencial, y la PACF se trunca tras el primer retardo, lo cual es compatible con un AR(1).

sd_x_ACF-PACF.png

Por tanto, parece que la serie en logaritmos sigue un modelo ARIMA\((1,1,0)\). Veamos si es así:

ARIMA110cte <- arima 1 0 0; 0 1 0 ; x 
Function evaluations: 28
Evaluations of gradient: 5

ARIMA110cte:
ARIMA, using observations 1986:01-2001:08 (T = 188)
Estimated using AS 197 (exact ML)
Dependent variable: (1-Ls) x
Standard errors based on Hessian

             coefficient   std. error     z      p-value 
  -------------------------------------------------------
  const       0.440514     0.291954      1.509   0.1313  
  phi_1       0.768846     0.0458412    16.77    3.92e-63 ***

Mean dependent var   0.449786   S.D. dependent var   1.487227
Mean of innovations  0.000902   S.D. of innovations  0.941527
R-squared            0.962801   Adjusted R-squared   0.962801
Log-likelihood      -255.8802   Akaike criterion     517.7604
Schwarz criterion    527.4697   Hannan-Quinn         521.6942

                        Real  Imaginary    Modulus  Frequency
  -----------------------------------------------------------
  AR
    Root  1           1.3007     0.0000     1.3007     0.0000
  -----------------------------------------------------------

ARIMA110cte saved

Los parámetros autorregresivos son significativos y el modulo de las raíces es claramente mayor que la unidad en ambos casos. No obstante, la constante no es significativa.

Reestimemos el modelo sin constante:

ARIMA110 <- arima 1 0 0; 0 1 0 ; x --nc
Function evaluations: 16
Evaluations of gradient: 3

ARIMA110: ARIMA, using observations 1986:01-2001:08 (T = 188)
Estimated using AS 197 (exact ML)
Dependent variable: (1-Ls) x
Standard errors based on Hessian

             coefficient   std. error     z     p-value 
  ------------------------------------------------------
  phi_1       0.787833     0.0440563    17.88   1.62e-71 ***

Mean dependent var   0.449786   S.D. dependent var   1.487227
Mean of innovations  0.095115   S.D. of innovations  0.946555
R-squared            0.962771   Adjusted R-squared   0.962771
Log-likelihood      -256.9190   Akaike criterion     517.8381
Schwarz criterion    524.3110   Hannan-Quinn         520.4606

                        Real  Imaginary    Modulus  Frequency
  -----------------------------------------------------------
  AR
    Root  1           1.2693     0.0000     1.2693     0.0000
  -----------------------------------------------------------

ARIMA110 saved

Análisis de los residuos

Todo parece OK, pero debemos ver el gráfico de los residuos y su correlograma, así como los estadísticos Q de Ljung-Box para constatar si podemos asumir que son la realización de un proceso de ruido blanco.

series residuos = $uhat
gnuplot residuos --time-series --with-lines --output="Residuos.png"
corrgm residuos 60 --plot="residuosACF-PACF.png"

Residuos.png

residuosACF-PACF.png

corrgm residuos 15
Autocorrelation function for residuos
***, **, * indicate significance at the 1%, 5%, 10% levels
using standard error 1/T^0.5

  LAG      ACF          PACF         Q-stat. [p-value]

    1  -0.0117       -0.0117          0.0260  [0.872]
    2   0.0043        0.0042          0.0296  [0.985]
    3   0.0141        0.0142          0.0677  [0.995]
    4  -0.0841       -0.0838          1.4398  [0.837]
    5   0.0410        0.0393          1.7673  [0.880]
    6  -0.0229       -0.0218          1.8703  [0.931]
    7   0.0091        0.0108          1.8867  [0.966]
    8  -0.0119       -0.0199          1.9146  [0.984]
    9  -0.0982       -0.0921          3.8399  [0.922]
   10  -0.0798       -0.0882          5.1169  [0.883]
   11   0.1237  *     0.1294 *        8.2065  [0.695]
   12   0.0056        0.0074          8.2128  [0.768]
   13   0.0892        0.0790          9.8375  [0.707]
   14   0.0536        0.0451         10.4283  [0.730]
   15   0.0221        0.0466         10.5290  [0.785]

El gráfico de los residuos no presenta ninguna estructura reconocible y ninguna autocorrelación es significativa.

Más importante aún, los correlogramas no muestran ninguna pauta reconocible, se parecen mucho entre sí y los estadísticos Q muestran p-valores muy elevados, por lo que podemos asumir que estos residuos son ``ruido blanco''.

También conviene mirar si los residuos tienen distribución gaussiana:

normtest residuos --all
Test for normality of residuos:

 Doornik-Hansen test = 0.0229723, with p-value 0.98858

 Shapiro-Wilk W = 0.995253, with p-value 0.819881

 Lilliefors test = 0.0417516, with p-value ~= 0.58

 Jarque-Bera test = 0.0946866, with p-value 0.95376

Podemos asumir claramente que tienen distribución normal.

Si en la ventana del modelo estimado pincha en el menú desplegable Gráficos --> Espectro con respecto al periodograma espectral verá que el espectro teórico del modelo se ajusta perfectamente al periodograma de la serie.

Por tanto, podemos concluir que la serie 00c296-12.gdt, no requiere la transformación logarítmica (en cualquier caso no se podía tomar sin aumentar previamente su nivel para hacerla positiva), sigue un proceso ARIMA\((1,0,0)\times(0,1,0)_S\) con media cero.

Modelo efectivamente simulado

Veamos si ese es el modelo usado en su simulación. Si miramos la línea 150 del fichero 000-Etiquetas-12.txt que se encuentra en el directorio de donde hemos obtenido los datos encontramos lo siguiente:

00c296, , mu = 0.0, ar = '(1 - 0.8B)(1 + 0.8B)', ma = '(1 + 0.55B)', i = '(1 - B12)'

Efectivamente, NO requería la transformación logarítmica, la media era \(0.0\) y era necesaria una diferencia estacional, pero ninguna regular.

No obstante, el modelo simulado tenía un polinomio autorregresivo de de orden dos, AR(2), y un polinomio de media móvil de orden uno, MA(1). Veamos qué pasa si intentamos estimar el verdadero modelo simulado… ¡pues hemos identificado un modelo distinto del simulado!

Pruebas con otro modelo ARIMA

Estimemos el verdadero modelo simulado: ARIMA\((2,0,1)\times(0,1,0)_{S}\):

ARIMAsimulado <- arima 2 0 1; 0 1 0 ; x --nc 
Function evaluations: 36
Evaluations of gradient: 15

ARIMAsimulado:
ARIMA, using observations 1986:01-2001:08 (T = 188)
Estimated using AS 197 (exact ML)
Dependent variable: (1-Ls) x
Standard errors based on Hessian

             coefficient   std. error      z      p-value
  -------------------------------------------------------
  phi_1       0.666360      2.21538     0.3008    0.7636 
  phi_2       0.0987904     1.74518     0.05661   0.9549 
  theta_1     0.114904      2.21597     0.05185   0.9586 

Mean dependent var   0.449786   S.D. dependent var   1.487227
Mean of innovations  0.094410   S.D. of innovations  0.946522
R-squared            0.962769   Adjusted R-squared   0.962366
Log-likelihood      -256.9125   Akaike criterion     521.8250
Schwarz criterion    534.7708   Hannan-Quinn         527.0701

                        Real  Imaginary    Modulus  Frequency
  -----------------------------------------------------------
  AR
    Root  1           1.2639     0.0000     1.2639     0.0000
    Root  2          -8.0091     0.0000     8.0091     0.5000
  MA
    Root  1          -8.7029     0.0000     8.7029     0.5000
  -----------------------------------------------------------

ARIMAsimulado saved

El ajuste es parecido (fíjese en los coeficientes de determinación) pero solo el parámetro los parámetros no son significativos (aunque \(\phi_1\) toma un valor relativamente próximo al del modelo anterior). Por tanto…

La estimación del verdadero modelo empleado en la simulación de los datos ¡NO ES MEJOR QUE EL MODELO QUE HEMOS IDENTIFICADO!

La explicación es que en el modelo estimado, el factor \((1 + 0,09879\mathsf{B})\) del polinomio AR casi se cancela con el polinomio MA \(\;(1 + 0,1149\mathsf{B})\). Por eso hemos encontrado un modelo más parsimonioso y que funciona OK.

Ahora escoja al azar nuevas series del directorio (dispone de centenares de series simuladas con distintos modelos) y practique la identificación hasta que adquiera seguridad.

Código completo de la práctica

Created: 2026-01-22 Thu 11:07